tl_bnr_land

「お墓」に最も費用をかけているエリアはどこ? 最も安い「近畿地方」との差は100万円に

まいどなニュース情報部 まいどなニュース情報部

一般社団法人 全国優良石材店の会(東京都品川区)は、このほど「2025年お墓購入者アンケート調査」の結果を発表しました。同調査によると、お墓の購入費用が最も高いのは九州地方の「245.7万円」で、最も安い近畿地方の「145.7万円」と100万円もの差があることがわかりました。

調査は、同法人に加盟する全国の石材店で実際にお墓を購入した818人を対象として、2025年3月にインターネットで実施されました。

はじめに、「墓石を建てた墓地の形態」を聞いたところ、「新しく購入した墓地」(寺院墓地17.8%、公営墓地13.8%、民営墓地19.3%)での建立が50.9%、「すでにあった墓地」(寺院墓地17.7%、公営墓地8.9%、民営墓地7.9%、地域や共同体の墓地11.5%)での建立が46.0%でした。

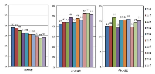
また、「建てたお墓の形」については、「シンプルな洋型」(51.6%)が最も多く、次いで「伝統的な和型」(28.5%)、「デザイン墓」(15.2%)が続きました。

建てたお墓のタイプを2016年からの推移でみると、「伝統的な和型」は9.7pt減少した一方、「シンプルな洋型」は9.4ptの増加、「デザイン墓」は1.9pt増加となりました。

また、建てたお墓のタイプを地域別にみると、「伝統的な和型お墓」は「四国地方」(90.9%)や「中国地方」(69.7%)、「近畿地方」(63.8%)など、西日本で多くなった一方で、「シンプルな洋型」は、「東北地方」(65.5%)や「関東地方」(65.8%)で多くなっています。

また、「デザインのお墓」は「北海道地方」(33.3%)と「九州地方」(29.0%)で多く、日本列島の最北と最南で人気のようです。

次に、「墓石の平均購入価格」を調べたところ、全国平均は2024年の171万円から1.5万円減少し、「169.5万円」となりました。

これを地域別で見ると、他地域と比べてお墓の規模が大きく、その分石材を多く使う傾向が見られる「九州地方」(245.7万円)が最も高くなり、次いで「北海道地方」(175万円)、「関東地方」(166.9万円)、「中国地方」(164.8万円)と続き、最も安い「近畿地方」(145.7万円)との差は100万円となりました。

また、「墓石タイプ別の平均価格」で最も高かったのは、「デザインのお墓」で189.7万円、次いで「伝統的な和型」の182.8万円、最も安かったのは「シンプルな洋型」で160.3万円でした。

最後に、「墓石選びで重視した点」について聞いたところ、「価格」(51.5%)、「石の色」(40.7%)、「石の材質」(35.3%)が上位に挙がりました。

なお、「墓石購入時の参考情報」としては、「石材店のアドバイス」(77.8%)や「墓地に行って他の墓石を参考にした」(36.1%)が挙げられ、一生に一度の買いものであるお墓はやはり専門家とリアルに対面し、相談することが不可欠な様子がうかがえる結果となりました。

まいどなの求人情報

求人情報一覧へ

おすすめニュース

気になるキーワード

新着ニュース