tl_bnr_land

世界のビール年間総消費量は東京ドーム約157杯分!消費量が最も多かったのは中国 …日本は?

まいどなニュース情報部 まいどなニュース情報部

みなさんは、ビールの消費量が多い国といわれたらどの国を思い浮かべますか。キリンホールディングス株式会社(東京都中野区)が実施した「2024年 世界主要国のビール消費量調査」によると、世界のビール総消費量は「約1億9412万kl」(前年比0.5%増)で、東京ドーム約157杯分に相当することがわかりました。また、国別ビール消費量は、「中国」が22年連続で1位、「日本」は11位となりました。

調査は、世界各国のビール協会などに対して独自に実施したアンケート調査と最新の海外資料に基づき、計170の世界主要国および各地域における2024年のビール消費量をまとめたといいます。

「2024年の世界のビール総消費量」は、前年より約89万kl(大びん633ml換算で約14億本)増え、「約1億9412万kl」(前年比0.5%増、大びん633ml換算で約3067億本)となり、東京ドーム約157杯分(東京ドーム1杯は約124万kl)に相当することがわかりました。

国別の「ビール消費量」ランキングで見ると、「中国」(4053.4万kl、前年比3.7%減)が2003年から22年連続で1位に。次いで、2位「アメリカ」(2234.0万kl、同0.5%減)、3位「ブラジル」(1530.4万kl、同1.1%増)、4位「メキシコ」(1078.7万kl、同5.4%増)、5位「ロシア」(951.2万kl、同9.0%増)がトップ5となり、「日本(※ビール、発泡酒、発泡酒2の合計)」(413.5万kl、同2.7%減)は11位となりました。

そのほかでは、「南アフリカ」(458.6万kl、同4.5%増)が2023年の10位から7位に、12位の「インド」(344.4万kl、同14.6%増)が、トップ25の中で最も大きく前年比で消費量を伸ばしました。

地域別ではアジアが17年連続で1位

地域別で見ると、「アジア」(6333.0万kl、同1.4%減)が32.6%で17年連続1位となったものの、中国や日本などの減少が影響し、前年を下回りました。

続く2位には「ヨーロッパ」(4923.2万kl、同1.4%増)、3位には「中南米」(3764.7万kl、同1.6%増)がトップ3にランクインしました。

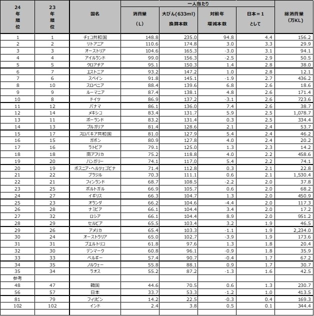
国別1人当たりビール消費量はチェコが1位

「一人当たりのビール消費量」を国別で見ると、「チェコ共和国」(148.8L)が32年連続で1位。次いで、2位「リトアニア」(110.6L)、3位「オーストリア」(104.6L)、4位「アイルランド」(99.0L)、5位「クロアチア」(95.1L)がトップ5となりました。

そのほか、昨年8位の「ドイツ」(86.9L)は10位にランクダウン、前年10位の「スロベニア」(88.4L)は8位にランクアップ、「日本」(33.7L)は56位となり、大びん633ml換算で約53.3本(前年比1.2本減)となりました。

まいどなの求人情報

求人情報一覧へ

おすすめニュース

気になるキーワード

新着ニュース